近日,陕西省科学院西安植物园周惠娟博士以第一作者身份在植物分子学术期刊《International journal of molecular science》(IF=5.6,中科院二区top)在线发表了题为“Genome-wide identification of the CBF gene family and ICE transcription factors in walnuts and expression profiles under cold conditions” 的研究论文。
核桃(Juglans regia,2n=32)隶属于胡桃科胡桃属,自然分布于欧亚大陆,为重要的木本经济树种,在全球广泛栽培。核桃也称胡桃,波斯核桃(Persian walnut),其果实油脂蛋白含量高且营养丰富是重要的木本油料经济树种。冷胁迫对树木生长及产量有重要影响,尤其是晚春的温度骤降严重制约果树产量。
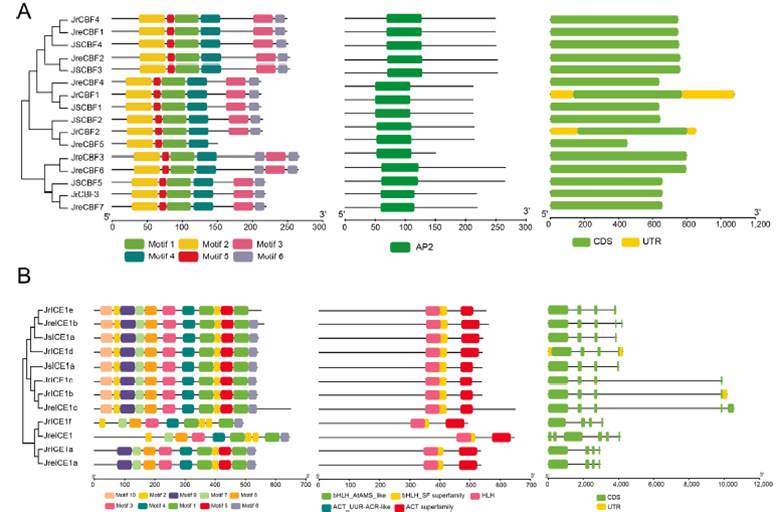
图1 不同核桃品种抗冷转录因子CBF和ICE基因家族分析
该研究利用“倒春寒”前后温度骤降时期,样品不同组织转录组测序,以核桃全基因组为参考,对不同核桃品种进行了抗冷??镃BF-ICE1-COR的生物信息学分析。包括转录因子数目、基因家族保守结构域、染色体定位、系统进化关系、保守基序、顺式调控元件和蛋白理化性质以及基因共线性等分析,发现三个核桃样品在基因家族数目、染色体分布等均存在差异。通过不同温度条件下转录组数据分析,发现ICE基因的表达量明显高于CBF基因,且在不同的品种中,其表达模式存在显著差异。

图2 不同温度条件下CBF和ICE基因表达模式分析
除此之外,该研究还对CBF和ICE基因进行了蛋白互作关系以及miRNA调控预测,且预测的miRNA在拟南芥中已被证明与寒冷、干旱、盐胁迫等非生物胁迫相关。该研究对于抗冷核桃品种选育以及分子育种提供了一定的理论意义。
图3 抗冷转录因子CBF和ICE蛋白互作关系分析
我园周惠娟博士为论文第一作者,陕西省西安植物园为第一完成单位。该研究得到了陕西省科学院项目(2023K-26, 2023K-49)和陕西省林业科学研究院科技研发重点专项(SXLK2023-02-20)以及国家自然科学基金 (32370386, 32070372, 32200295)等项目的资助。
文章链接:https://www.mdpi.com/1422-0067/25/1/25/html
科学研究